Nested Choice Model
In the logit model, we assumed independent error term with extreme value distributions.
make sense?
Why?
•The i.i.d assumption essentially created the IIA property of Logit model. •This is not completely correct, because other distributions for the unobserved, say with normal errors, we would not get IIA exactly, but something pretty close to it. •We need to relax the independence between the unobserved error term ε
####Solution to IIA

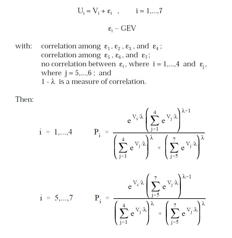
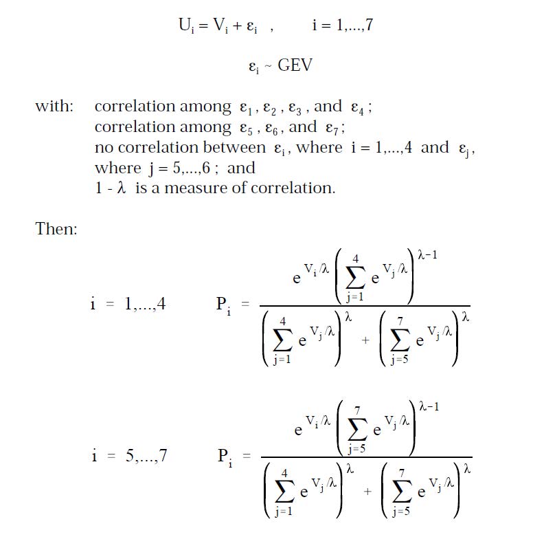
Nested Logit Model


簇与簇之间是独立的,但是簇的内部有相关性



Properties of Nested Logit Model

An Example



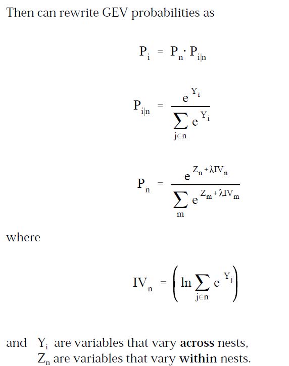
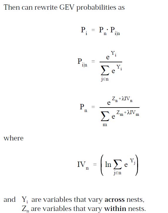
Decomposition of Nested Logit Model




Ink 是内部方案的吸引力
An Example


Model Estimation



一般用前者,渐进有效;后者一致但不有效
Three-Level Nested Logit



Last updated
Was this helpful?